Projects
Published and ongoing research

Evolution of the Milky Way
Delving into the Depths: Unraveling the Intricate History of the Milky Way
Was the Milky Way a chain galaxy?
Using the IGIMF theory to constrain the thin-disc star formation history and mass
The environment-dependent initial mass function
The initial mass function (IMF) denotes the distribution of star masses at the onset of their formation within a star formation event. Although studies of the Local Group have indicated that a consistent IMF effectively describes straightforward stellar populations, such as globular clusters, it is expected that the IMF varies and becomes contingent on the environment within composite populations, such as galaxies.
Results
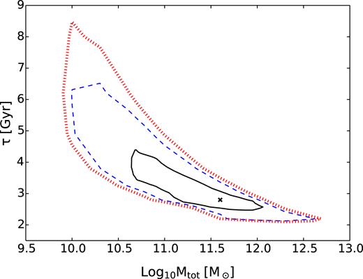
In this study, we investigate the shape of the present-day mass function (PDMF) by employing both the canonical (Kroupa) IMF and the IGIMF theory with a time-dependent star formation rate (SFR). By examining the Galactic-field PDMF for stars with masses greater than 1 M⊙ and determining the normalization for low-mass stars, we can effectively constrain the star-formation history of the Milky Way and thereby estimate its current SFR. Additionally, this analysis allows us to determine the total mass of stars in the Galactic thin disc.
To explore the impact of key parameters, namely the e-folding time-scale (τ) and total disc mass, on the present-day properties of the Galactic thin disc, we conducted a series of calculations using different models. Through this approach, we can refine our understanding of the Milky Way’s thin disc properties, including its current SFR, mass-to-light ratio, and overall stellar mass. Based on our investigations, we draw the following main conclusions:
- Both the IGIMF and the canonical IMF effectively reproduce the Galactic PDMF. However, when constraining the SFR to decline by a factor of 2–7, the degeneracy breaks, and the IGIMF model outperforms in replicating the MW PDMF.
- Considering the canonical IMF and IGIMF, models constructed with τ = 2.8 Gyr provide the best fit, suggesting an exponentially declining Milky Way SFR. The similarity in τ values between IMF and IGIMF models arises from the MW being an intermediate-mass galaxy, where the IGIMF resembles the canonical IMF, while significant differences occur in dwarf galaxies with low SFRs or massive galaxies with high SFRs.
- Under the IGIMF theory, the Milky Way, having had a higher SFR approximately 10 Gyr ago, might have been populated by embedded clusters spanning masses up to a few million M⊙, potentially giving it the appearance of a chain galaxy.
For access to the complete paper, I kindly invite you to follow this link.


Mass-to-light ratio of UCDs
Top-heavy IMF: A Riveting Proposal to Untangle the Mystery of Ultra-Compact Dwarf Galaxies' Anomalous Mass-to-Luminosity Ratio
Do ultracompact dwarf galaxies form monolithically or as merged star cluster complexes?
We examine the physical characteristics of Ultra-Compact Dwarf Galaxies (UCDs) at various evolutionary phases, considering diverse initial stellar masses and adopting an Integrated Galactic Initial Mass Function (IMF) theory where the IMF can vary systematically based on metallicity and density. While a fixed, universal IMF fails to replicate the observed high Mass-to-Luminosity (M/L) ratios of UCDs, an empirically derived IMF that changes with density and metallicity aligns with observations. The incorporation of UCD-mass-dependent retention fractions for dark remnants further enhances this agreement. N-body simulations applied to young UCDs demonstrate that the same initial conditions explaining M/L ratios also capture the observed relationship between half-mass radii and present-day masses. These findings imply that UCDs with elevated M/L ratios may have formed monolithically with concentrated remnant-mass components, while those with lower M/L values could be the result of merged star cluster complexes. For more detailed information, please refer to the paper.


Andromeda IX
Unlocking Secrets of the Nearest Satellite to M31: A Photometric Exploration of Star Formation History and Dust Production
The Isaac Newton Telescope Monitoring Survey of Local Group Dwarf Galaxies. VI. The Star Formation History and Dust Production in Andromeda IX
From June 21, 2015, to October 6, 2017, a series of nine observations were conducted to investigate the characteristics of And IX, a dwarf spheroidal satellite galaxy of M31. The observations utilized the 2.5 m Wide Field Camera of the Isaac Newton Telescope with Sloan i and Harris V filters. Employing DAOPHOT/ALLSTAR software, 54 candidates on the Asymptotic Giant Branch (AGB) were detected within two half-light radii (approximately 5′) of And IX, with around 50 of them identified as Long Period Variables (LPVs) exhibiting amplitudei > 0.2 mag. To assess galaxy evolution, Star Formation Rates (SFRs) were calculated for different metallicities within two half-light radii. Taking into account temperature and radius variations, LPVs undergo substantial mass loss in the form of stellar wind. Mass-loss rates were determined using multiwavelength data from INT, Spitzer, SDSS, and WISE. The detailed findings can be accessed in the corresponding paper.

Two things are infinite: the universe and human stupidity; and I’m not sure about the universe.
Read lessYou only live once, but if you do it right, once is enough.
Read lessBe the change that you wish to see in the world.
Read less